Home
Product Category
About Us
News
Download
All
All
Name
CAS No
Product No
Home
Products
Glucosamine
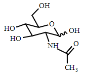
N-Acetyl-D-Glucosamine
Catalogue number:
U40-1401286
Catalogue Number:
7512-17-6
Molecular Formula:
C8H15NO6
Molecular Weight:
221.21
Reference
Product No./Packaging
Pack Size
Price
Inventory
U40-1401286
50mg
Inquiry
Consultation
Online Inquiry
Product Name
*
:
Email
*
:
Name :
Tel :
Message :
Validatecode
*
:
Submit
Reset
Search quality certificate
Catalogue Number :
For example:Catalogue Number: CL-97805; Batch number: CL-97805-01
Search
Related products
Glucosamine EP Impurity C
NO:U40-7001010
CAS NO:17460-13-8
MF: C12H20N2O7
MW:304.30
Fruct osazine
NO:U40-6001020
CAS NO:13185-73-4
MF: C12H20N2O8
MW:320.30
N-Acetyl-D-Glucosamine
NO:U40-1401286
CAS NO:7512-17-6
MF: C8H15NO6
MW:221.21
Home
Tel
Contact